关于举办长江师范学院第十一届结构设计竞赛的通知
各教学院:
全国大学生结构设计竞赛是经教育部高等教育司批准,由中国高等教育学会工程教育专业委员会等多个委员会联合主办的全国性重点赛事。根据《全国大学生结构设计竞赛委员会文件》(结设竟函[2026]2号)文件精神,进一步做好竞赛团队选拔,提升我校参赛项目质量,决定举办长江师范学院第十一届结构设计竞赛。现将有关事项通知如下:
一、竞赛名称
长江师范学院第十一届结构设计竞赛
二、竞赛题目
本次校赛赛题采用第十九届全国大学生结构设计竞赛题目(详见附件一)
三、组织单位
主办:长江师范学院教务处
承办:土木建筑工程学院
协办:建筑爱好者协会
四、参数对象
长江师范学院 土木建筑工程学院在籍学生(允许个别队员为其它学院学生)。
五、竞赛时间
1.模型制作:2026年4月13日~2026年5月22日。
2.模型加载:2026年5月23日(根据情况调整)。
六、竞赛加载流程
1.模型称重:按照赛前安排的加载顺序分别对各小组模型进行称重,重量记为Mi(另含内六角螺丝质量,单位:g)。
2.模型安装及检测:参赛选手将制作好的模型安装至加载台,竞赛志愿者对模型净空、尺寸要求、加载点位置等进行检测。
3.模型行驶及货物运输:参赛选手按赛题规定遥控驾驶动力小车牵引模型完成运输货物。
4.加载记录
记录运输过程中货物掉落数量及运输耗时。
七、竞赛分数
加载得分满分100分,分别由以下三部分组成:
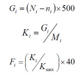
(1)模型行驶及货物运输效率得分:满分40分,计算公式如下:

(2)运输任务完成度得分:满分20分,计算公式如下:

(3)运输成本得分:满分40分,计算公式如下:

注:各项参数具体说明详见原赛题(附件一),校赛不考虑扣分项。
八、晋级选手确定
共择优选择4支队伍参加重庆市赛,其中一支队伍名额分配给上一届参加市赛的选手,剩下3个名额根据各小组得分确定,在市赛备赛过程中若有选手退出,则由其队友从其他队伍中选择选手增补。
九、奖项设置及奖励办法
1.奖项数量:一等奖2个;二等奖4个;三等奖6个(具体奖项数量依据最终参赛队伍数量适当调整)。
2.获奖团队颁发获奖证书。
3.对于土木建筑工程学院的学生而言,结合专业培养方案,该活动属于实践教学课程体系中学科竞赛与创新创业训练,在比赛中获得一等奖计2.5学分,二等奖计2学分,三等奖计1.5学分,参与且作品合格者计1学分(作品不合格的团队,不予加分);对于长江师范学院在校本科生而言,以所在院系根据学校文件要求和学院实际情况认定标准加分。
十、其他
1.其余未单独强调部分规定同国赛赛题。
2.出现争议时,由土木建筑工程学院竞赛指导教师团队商议确定。
学院联系人:李老师(15023676832)
附件一:赛题
附件二:结构设计竞赛报名表
教务处 土木建筑工程学院
2026年4月14日